Fully relativistic pseudopotentials
Fully relativistic pseudopotentials generated by
the MBK (PRB 47, 6728 (1993)) scheme within LDA (CA19) and GGA (PBE19) which contain
a partial core correction and fully relativistic effects including spin-orbit coupling.
Pseudo-atomic orbitals
The number below the symbol means a cutoff radius (a.u.) of the confinement
potential. These file includes fifteen radial parts for each angular
momentum quantum number l (=0,1,2,3,4).
The basis functions were generated by ADPACK, and never optimized by OpenMX.
Since Tb_CA19.vps and Tb_PBE19.vps include the 4f, 5s, 5p, and 6s states (19 electrons)
as the valence states, the minimal basis set is Tb*.*-s2p1f1.
Our recommendation for the choice of cutoff radius of basis functions is that
Tb8.0.pao is enough for bulks, but Tb10.0.pao or Tb12.0.pao is preferable
for molecular systems.
Benchmark calculations by the PBE19 pseudopotential
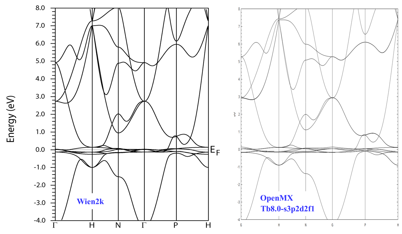
(1) Calculations of the band dispersion in the bcc structure,
where the non-spin polarized collinear calculation with the lattice constant of 4.02 Ang.
was performed using Tb_PBE19.vps and Tb8.0-s3p2d2f1, and the origin of the energy
is taken to be the Fermi level.
The input file used for the OpenMX calculations can be found at
TbBCC-Band.dat.
For comparison the result by the Wien2k code is also shown, where
the calculation was performed by default setting in the Ver. 18.2 of Wien2k
except for the use of RMT x KMAX of 9.5.
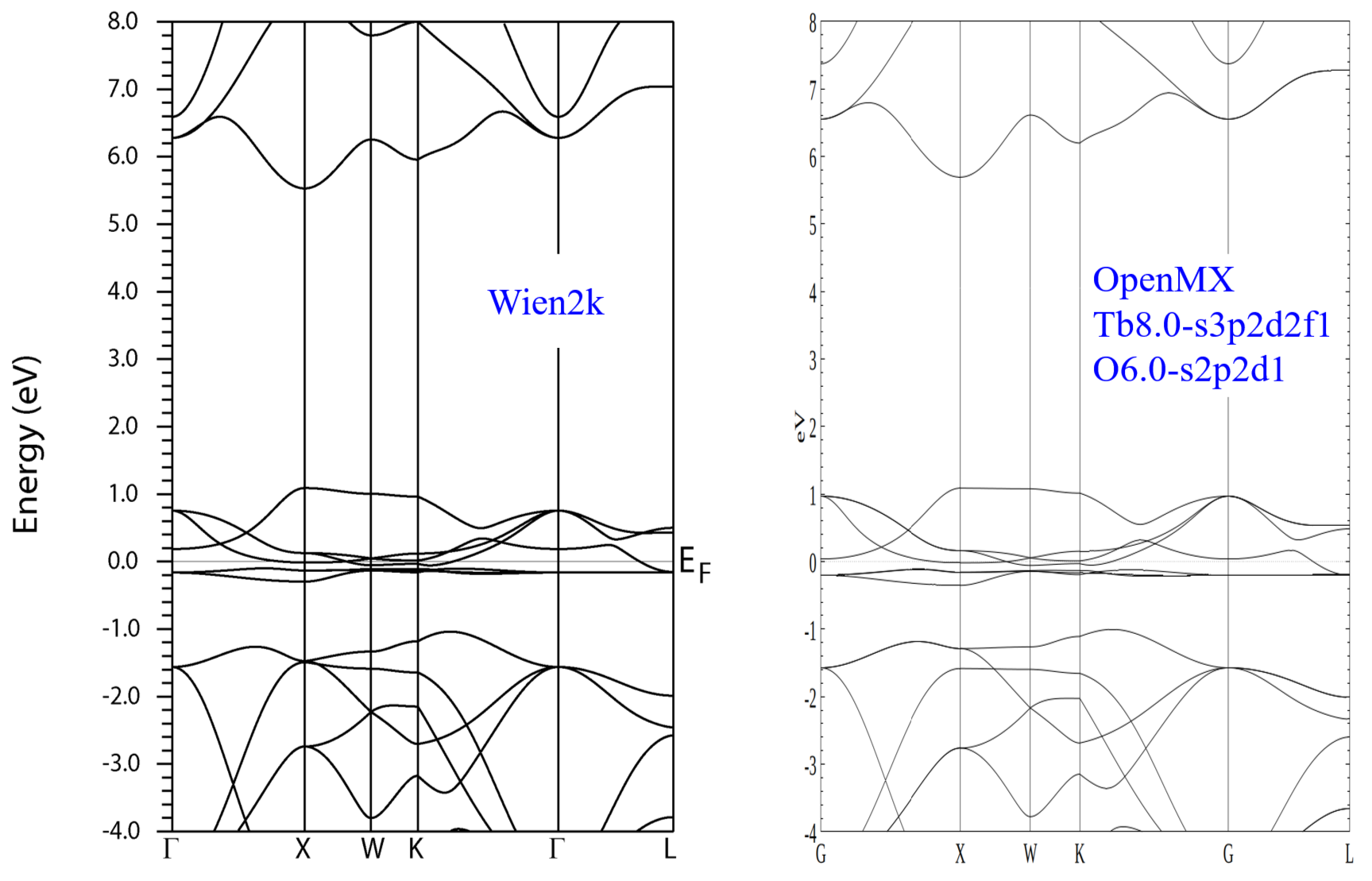
(2) Calculations of the band dispersion in the TbO2,
where the non-spin polarized collinear calculation with the lattice constant of 5.22 Ang.
was performed using Tb_PBE19.vps and Tb8.0-s3p2d2f1, and the origin of the energy
is taken to be the Fermi level.
The input file used for the OpenMX calculations can be found at
TbO2.dat. The SCF calculation was first performed at 1000 K, and
then the one-shot calculation for band dispersion was performed at 300 K with
the restart file generated at 1000 K.
For comparison the result by the Wien2k code is also shown, where
the calculation was performed by default setting in the Ver. 18.2 of Wien2k
except for the use of RMT x KMAX of 9.5.
(3) Calculation of the total energy as a function of lattice constant in the fcc structure,
where the total energy is plotted relative to the minimum energy for each case.
The calculations were performed within the spin-polarized collinear scheme at 1000 K.
An input file used for the OpenMX calculations can be found
at
Tbfcc8-sp-EvsLC-s3p2d2f1.dat
and
Tbfcc8-sp-EvsLC-s3p3d2f1.dat.
For the Wien2k calculation,
the calculation was performed by default setting in the Ver. 18.2 of Wien2k
except for the use of RMT x KMAX of 9.5.