Fully relativistic pseudopotentials
Fully relativistic pseudopotentials generated by
the MBK (PRB 47, 6728 (1993)) scheme within LDA (CA19_OC) and GGA (PBE19_OC) which contain
a partial core correction and fully relativistic effects including spin-orbit coupling.
The 4f state is treated as core state by considering occupation of eight electrons,
and thereby not involed in OpenMX calculations explicitly.
However, the spin polarization of the 4f electrons can be treated as open core state
in OpenMX calculations. The treatment of the 4f electrons works similary to the DFT+U method.
Pseudo-atomic orbitals
The number below the symbol means a cutoff radius (a.u.) of the confinement
potential. These file includes fifteen radial parts for each angular
momentum quantum number l (=0,1,2,3,4).
The basis functions were generated by ADPACK, and never optimized by OpenMX.
Since Tb_CA19_OC.vps and Tb_PBE19_OC.vps include the 5s, 5p, 5d and 6s states (11 electrons)
as the valence states, the minimal basis set is Tb*.*-s2p1d1.
Our recommendation for the choice of cutoff radius of basis functions is that
Tb8.0_OC.pao is enough for bulks, but Tb10.0_OC.pao or Tb12.0_OC.pao is preferable
for molecular systems.
Benchmark calculations by the CA19_OC pseudopotential
(1) Calculations of the band dispersion in the fcc structure,
where the non-spin polarized collinear calculation with the lattice constant of 5.2 Ang.
was performed using Tb_PBE24_OC.vps and Tb8.0_OC-s3p3d2f1, and the origin of the energy
is taken to be the Fermi level.
The input file used for the OpenMX calculations can be found at
Tbfcc_oc8-Band.dat.
For comparison the result by the Wien2k code is also shown, where
the calculation was performed by default setting in the Ver. 18.2 of Wien2k
except for the use of RMT x KMAX of 9.5.
(2) Calculation of the total energy as a function of lattice constant in the fcc structure,
where the total energy is plotted relative to the minimum energy for each case.
The calculations were performed within the spin-polarized collinear scheme at 1000 K.
An input file used for the OpenMX calculations can be found
at
GGA+U (s3p2d2f1),
GGA+U (s3p3d2f1),
Open core (s3p2d2f1),
and
Open core (s3p3d2f1).
For the Wien2k calculation,
the calculation was performed by default setting in the Ver. 18.2 of Wien2k
except for the use of RMT x KMAX of 8.0.
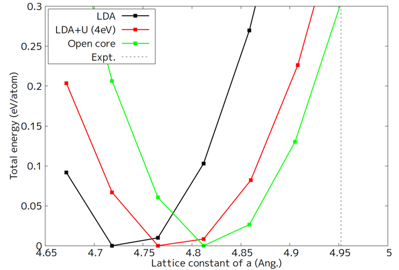
(3) Calculation of the total energy of TbCo5
as a function of lattice constant in the CaCu5 structure,
where the total energy is plotted relative to the minimum energy for each case.
The input files used for the OpenMX calculations can be found at
LDA,
LDA+U (4 eV),
and
Open core.